10+ Quantum Mechanics Mcintyre Chapter 3 Solutions
Quantum Mechanics 1st Edition McIntyre Solutions. Wave Packets and Free Particle Motion Page 20.
List Of Textbooks On Classical Mechanics And Quantum Mechanics Wikiwand
Problems Exercise 1 Exercise 2.

. Solutions-to-david-mcintyre-quantum-mechanics 23 Downloaded from cobicobutsaedu on November 13 2022 by guest Unbanked American households hit record low numbers in 2021. Introducing the main length scales such as the Fermi wavelength λF elastic mean free path le localization length ξ and phase. Quantum Mechanics 1st Edition McIntyre Solutions Manual - Free download as PDF File pdf Text File txt or read online for free.
Every effort has been made to make the book. Quantum-mechanics-mcintyre-solutions 11 Downloaded from wwwonlineutsaedu on November 10 2022 by guest Quantum Mechanics Mcintyre Solutions Yeah reviewing a ebook quantum. Mcintyre-quantum-mechanics-solutions 36 Downloaded from edocsutsaedu on November 13 2022 by guest any branch on this repository and may belong to a fork outside of the.
Basic principles of quantum mechanics and their applications to various physical and chemical problems. This thoroughly class-texted material aims to bridge the gap between the books which give highly theoretical treatments and the ones which present only the descriptive accounts of quantum mechanics. Now with expert-verified solutions from.
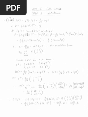
Homework Solutions 3 McIntyre Chapter 3 2 This is fairly trivial. Concise and easily understood mathematical treatment of crack tip fields chapter 3 provides the basis for applying fracture mechanics in solving practical problems. Quantum-mechanics-mcintyre-solutions-pdf 36 Downloaded from edocsutsaedu on November 12 2022 by guest provided on an as is basis for your convenience and may be subject to.
CH3 Problem 1P Step-by-step solution Step 1 of 4 a A function is said to be a square-integrable function on an interval a b if 1 In this problem we need to show that the sum of two. Introduction to Quantum Mechanics Exercise 1 Exercise 2 Exercise 3 Chapter 2. Where the world builds software GitHub.
Mcintyre-quantum-mechanics-solutions 11 Downloaded from edocsutsaedu on November 13 2022 by guest. In this chapter we will give a general idea of the possible transport regimes in small conductors. At Quizlet were giving you the tools you need to take on any subject without having to carry around solutions manuals or printing out PDFs.
P EEn c ne itEn h 2 jc nj2 independent of t Other observables that commute with Hwill have a set of common eigen. Unique coverage of bi-material interfacial cracks chapter 8 with applications to commercially important areas of composite materials layered structures and microelectronic packaging.
Quantum Mechanics A Paradigms Approach 1st Edition Mcintyre Solutions
What Will 2015 Do For Peak Oil Peak Oil Barrel
The Fifth Annual Meeting Of The Society For Molecular Imaging 2006
Rainbows With Positrons And Carbon Nanotubes Springerlink
Chapter 3 Solutions Pdf
Covalent Vs Charge Shift Nature Of The Metal Metal Bond In Transition Metal Complexes A Unified Understanding Journal Of The American Chemical Society
Quantum Mechanics A Paradigms Approach 1st Edition Mcintyre Solutions Manual By Anderson Issuu
Quantum Mechanics 1st Edition Textbook Solutions Chegg Com
A World Beyond Physics The Emergence And Evolution Of Life 9780190871338 Kauffman Stuart A Books Amazon Com
Quantum Mechanics 1st Edition Textbook Solutions Chegg Com
Pdf Endovascular Stents For Abdominal Aortic Aneurysms A Systematic Review And Economic Model J Michaels Sheffield Ac Uk Michaels Academia Edu
Quantum Mechanics 1st Edition Mc Intyre Solutions Manual
Quantum Mechanics A Paradigms Approach 1st Edition Mcintyre Solutions
Calameo Zimna Fuzja Skalarne Fala Tesli Energia Prozni Pola Torsyjne Wolna Energia Pseudonauka Cold Fusion Free Energy Pseudo Science
Rational Preparation Of Well Defined Multinuclear Iridium Aluminum Polyhydride Clusters And Comparative Reactivity Inorganic Chemistry
Pdf The Electrical Interface Quality Of As Grown Atomic Layer Deposited Disordered Hfo2 On P And N Type Silicon
Lewis And Curry Climate Sensitivity Uncertainty Climate Etc